Mean and deviation


Do you understand the meaning of this equation? 

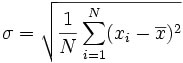
The mean, , of a set of measurements is defined as the sum of the measurement values, divided by the number of measurements. The normal distribution is also characterized by a number known as the standard deviation or σ (sigma).  

The standard deviation of a distribution is a measure of the amount of variation in the population (assuming measurements are accurate) or a measure of the amount of error in the measurements (assuming that they are not).

To calculate standard deviation, one determines the difference between the mean and each particular measurement (x i- mean). 

Some of these differences will be positive, others negative.  If we just added the values for (x i- mean) for all "i" measurements, some would cancel out and we would underestimate how much a particular measurement differs from the mean. 

To avoid this possibility, we square the difference (x i- mean)2.  Now all of the values are positive.  We now add them together, divide by the number measurements, and then take the square root, which removes the effects of our initial squaring.  

 

If the value of σ is small, most organisms in the population have a similar value of the trait; if σ is large, there is greater variation between organisms with regards this trait (this statement assumes that we can measure the trait accurately)


Use Wikipedia
revised 14-Aug-2011